Electrophoretic Light Scattering (ELS)
Zeta potential: essential for understanding colloidal behavior
Electrophoretic light scattering (ELS) is the primary technique for characterizing electrophoretic mobility, zeta potential and molecular charge in solution. ELS provides insight into colloidal stability and in-solution/in-vivo functionality of colloids and complex macromolecules including:
- Liposomal formulations of small-molecule drugs
- RNA- or DNA-bearing lipid nanoparticles
- Quantum dots or metallic nanoparticles
- Extracellular vesicles
- Polymeric or protein-based nanoparticles
Wyatt’s DynaPro™ ZetaStar™ DLS/ELS/SLS instrument enables unprecedented convenience in walk-up ELS measurement, along with measurement of particle size and concentration, optional automation, a wide selection of measurement formats and other unique capabilities.

What is ELS?
ELS uses light scattering to measure the motion of particles through a fluid in response to an electric field, quantified as electrophoretic mobility, µE. This motion arises from charges on the particle’s surface.
Samples are usually provided in a special microcuvette or flow cell that incorporates electrodes as well as optical windows. The solution is illuminated with a laser beam, and light scattered by the particles is combined at the detector with a separate arm of the laser beam. Optical wave interference phenomena are analyzed to quantify particle velocity.
ELS differs from dynamic light scattering (DLS) in the application of an electric field. Whereas DLS utilizes random diffusion (Brownian motion) to determine diffusion coefficient, ELS makes use of the uniform motion of particles along the electric field to obtain electrophoretic mobility.

In ELS, an electric field induces particle motion, leading to a shift in the frequency of scattered light, detected in turn by interfering the scattered light with a reference beam. The magnitude and direction of the shift correspond to the particle’s electrophoretic mobility, zeta potential and charge.
Why ELS?
As fundamental properties of nanoparticles and emulsions, charge and zeta potential are essential for understanding both their general behavior and specific functionality.
- Colloidal stability and self-assembly: For traditional colloids and emulsions, ELS is used to evaluate stability. A high magnitude of zeta potential can indicate a more stable suspension, while lower values are needed for self-assembly of e.g. virus-like particles.
- Targeting for drug and gene delivery: The charge and zeta potential of a drug or gene vector are intrinsically related to its ability to enter specific organs and cells, delivering its payload effectively and where needed.
ELS vs. other technologies: Other ways of determining electrophoretic mobility include acoustic methods and imaging methods like microelectrophoresis. However, ELS is the preferred method because it naturally combines with other light scattering techniques - DLS and static light scattering (SLS) – to provide comprehensive characterization of size, zeta potential and concentration, for particles within a wide size range from below 1 nm to above 1 µm.
![]()
Who uses ELS?
ELS is widely applicable by scientists and engineers in the nanoparticle and material science fields, such as:
- Cell and gene therapy development scientists developing and characterizing lipid nanoparticles, viral vectors and extracellular vesicles for efficacious transduction
- Biopharmaceutical formulation developers working on stable formulations for extended shelf-life
- Pharmaceutical researchers evaluating nano-drug delivery vehicles for efficient delivery of traditional therapeutics
- Food and beverage developers establishing which product has the best “mouth-feel”
- Material chemists engineering a polymer with consistent strength and flexibility or developing coatings from uniform and stable dispersions
- Environmental engineers working through their understanding of suspensions in solutions for remediation

Multiple detectors in one instrument
For accurate, rapid characterization of macromolecular solutions or nanoparticle suspensions, at least two sets of detection modalities are needed:
- DLS + ELS for size, polydispersity and zeta potential;
- DLS + SLS for size, polydispersity and particle concentration (or molecular weight for macromolecules).
The ZetaStar incorporates both pairs of modalities with individual, optimized detectors for each, instead of using one (sub-optimal) detector for all three.
Furthermore, while most DLS/ELS instruments measure DLS and ELS sequentially, the ZetaStar performs simultaneous DLS + ELS measurements. Bespoke, parallel detection channels guarantee the best response, widest range and fastest measurements.

The ZetaStar measures back-scatter dynamic light scattering simultaneously with ELS for size, polydispersity and zeta potential, or side-scatter DLS together with 90° SLS to determine size, polydispersity and particle concentration (or molar mass for macromolecules).
How does ELS work?
Doppler analysis for particle velocity: Electrophoretic light scattering takes advantage of the Doppler effect to measure particle motion under an electric field. The laser beam is split in two: one portion (sample beam) illuminates the sample, where some of the light is scattered by particles towards the detector; the other portion (reference beam) is deflected around the sample cell, through a phase modulator and towards the detector.
The two beams are recombined at the detector. The resulting optical signals are analyzed to determine particle velocity and the sign of the charge; this information is combined with size (from DLS) and conductivity (measured by the instrument as well) to calculate zeta potential and molecular charge. See the ELS theory page for additional details.
FIDELIS - always faithful: Conventional ELS instruments employ low-frequency mechanical motion of mirrors to introduce phase modulation, enabling the phase-analysis light scattering (PALS) method for zeta potential analysis.
Wyatt has broken free of that paradigm with a novel type of ELS, fiber-interferometric Doppler electrophoretic light scattering (FIDELIS). In FIDELIS, the laser beams propagate through the sample and reference optical fibers. A pair of acousto-optic modulators inserted in the reference fiber modulates the optical phase at high speed.
Increasing the phase modulation frequency by ~1000x greatly improves signal-to-noise ratios and enables robust frequency domain analysis.

FIDELIS technology employs fiber-coupled elements: laser, splitter, acousto-optic modulator and beam combiner, for a robust and monolithic ELS optical system providing excellent sensitivity and speed.
Which sample cells and configurations are available for ELS?
Measurements in the ZetaStar can be performed manually, in any of several cells, or automatically using an autosampler and flow cell. The flow cell and dip cell use platinum electrodes to minimize undesirable electrochemical reactions.
Manual options for ELS
- Quartz dip cell: Only 65 µL of solution are required to measure zeta potential in the quartz dip cell, which consists of a quartz cuvette and dip electrodes.
- Disposable zeta cell: The disposable cell with built-in 316 SS electrodes eliminates carryover concerns and the need to clean between samples. It can be filled manually requiring 400 µL of solution.
- PEEK flow cell: The ZetaStar’s unique flow cell can be pressurized to eliminate bubble formation in high-salt buffers. Bubbles that form due to electrolysis interfere with the current and laser beam, precluding robust zeta potential measurements. The Atlas™ accessory is used to pressurize the cell during manual measurements, requiring 500 µL of solution (or 350 µL without the Atlas).
Manual analyses may be made using the on-board app, DYNAMICS Touch, or with PC-based DYNAMICS software, enabling comparison of multiple measurements – even if made on different days or with different instruments. DYNAMICS software also provides the option for 21 CFR Part 11 compliance.

A range of measurement cells are offered with the ZetaStar for ELS as well as DLS and SLS measurements.

The Atlas accessory allows for pressurization of the flow cell for measurements of highly conductive solutions. It is recommended for any solution above 7mS/cm.
Automated ELS measurements
ELS measurements can be automated using an autosampler and pump under control of DYNAMICS software. These modules are plumbed to the PEEK flow cell. Automated measurements require 500 µL per sample.
This configuration simplifies pressurization – all that is needed is to add a backpressure regulator onto the waste line from the flow cell.

Automated ELS measurements are achieved using the ZetaStar with an autosampler and pump.
Key ELS Applications
ELS is used to measure zeta potential wherever colloids and other nanoparticles or macromolecules are studied or developed. Below you will find a select set of literature references, application notes and on-demand webinars for each area.
The searchable Bibliography, containing thousands of references to peer-reviewed articles citing Wyatt instruments, is an excellent resource for researching specific ELS applications.
Biopharmaceuticals, Vaccines and Gene Vectors
Monoclonal antibody formulation
Understanding protein-protein interactions is key to improving the stability of therapeutic protein formulations, and net charge represents a central component of those interactions. Zeta potential measurements in formulation buffers, enabled by Wyatt’s unique ELS instruments, help tease out the contributions of protein charge to overall long and short-range protein-protein interactions.
Learn more in Roberts, D. et al., The Role of Electrostatics in Protein–Protein Interactions of a Monoclonal Antibody, Mol. Pharmaceutics 2014 and Saito, S. et al., Effects of Ionic Strength and Sugars on the Aggregation Propensity of Monoclonal Antibodies: Influence of Colloidal and Conformational Stabilities, Pharm. Res. 2013.

The overall colloidal stability of proteins in solution is influenced by the sum total of net charge and other weak interactions.
Iron-oxide NP stabilization
Iron-oxide nanoparticles are approved by the FDA for systemic use and have recently seen increasing popularity as antigen carriers for vaccine delivery. The shift in zeta potential of iron-oxide NPs towards that of the decorating antigen indicates effective decoration.
See Roach et al., Comparison of Different Stabilizing Agents and Antigen Attachment Methods on Iron Oxide Nanoparticles for Vaccination, Biomed. Mat. & Devices 2023.
Polymeric non-viral gene vectors
Differences in the length of poly(α)glutamate polymers used to construct polyplex nanocarriers for siRNA were found to impact their zeta potential, which correlated to biostability and physiological activity. See Krivitsky, A. et al., Molecular Weight-Dependent Activity of Aminated Poly(α)glutamates as siRNA Nanocarriers, Polymers 2018.
Silica coating of polymeric nanocapsules for mRNA delivery was verified by, among other methods, a large shift in zeta potential from positive to negative values as described by Kamegawa, R. et al., Read more in Bioinspired Silicification of mRNA-Loaded Polyion Complexes for Macrophage-Targeted mRNA Delivery, ACS Appl. Bio. Mat. 2021.

Lipid nanoparticle gene vectors
Loading LNPs with RNA leads to a high positive value of zeta potential, which can be detrimental to patients. ELS is a key method for ensuring that PEGylation or other strategies for reducing surface charge of LNPs are effective. This is shown in Kurimoto, S. et al., PEG-OligoRNA Hybridization of mRNA for Developing Sterically Stable Lipid Nanoparticles toward In Vivo Administration, Molecules 2019.
Nanoparticles and nanomedicines
Nanomedicine decoration for specific targeting
Tailoring the surface of a nanomedicine to target specific cells is a critical step in producing “silver bullet” drug delivery vehicles. Zeta potential is a good indicator that a targeting chemical moiety has in fact attached securely to a nanoparticle.
Learn how Wyatt’s ELS instrument proved that incubation with a targeting chemokine led to well-decorated NPs: Pisani, A. et al, Chemokine-Decorated Nanoparticles Target Specific Subpopulations of Primary Blood Mononuclear Leukocytes, Nanomaterials 2022.

Drug loading and biostability of polymeric nanocarriers
In addition to corroborating surface decoration, zeta potential measurements by ELS can help identify whether a drug is loaded into the interior of a nanocapsule or adheres to the outer surface. Learn more in Goto, A. et al., Facile Preparation of Delivery Platform of Water-Soluble Low-Molecular-Weight Drugs Based on Polyion Complex Vesicle (PICsome) Encapsulating Mesoporous Silica Nanoparticle, ACS Biomat. Sci. Eng. 2017.

Stability of colloidal suspensions
Zeta potential is well known to be a good indicator is stability in suspensions of simple colloids such as silver nanoparticles. Hence, simply measuring the zeta potential with a ZetaStar is a quick and easy way to differentiate preparative methods and solvents Learn how in Gakiya-Teruya, M. et al., Synthesis of Highly Concentrated Suspensions of Silver Nanoparticles by Two Versions of the Chemical Reduction Method, Meth. and Prot. 2018.
Molecular biomarkers
Extracellular vesicles are emerging as promising biomarkers for a variety of diseases. While their molecular content is a rich source of biomarker data, zeta potential has been shown to correlate with breast cancer and nutrition-related support therapies.
To explore the relationship between EV zeta potential and breast cancer, read Mendevil-Alvarado, H. et al, Extracellular Vesicles and Their Zeta Potential as Future Markers Associated with Nutrition and Molecular Biomarkers in Breast Cancer, Mol. Sci. 2023.
Polymers and other colloids
Hydrogel swelling and collapse
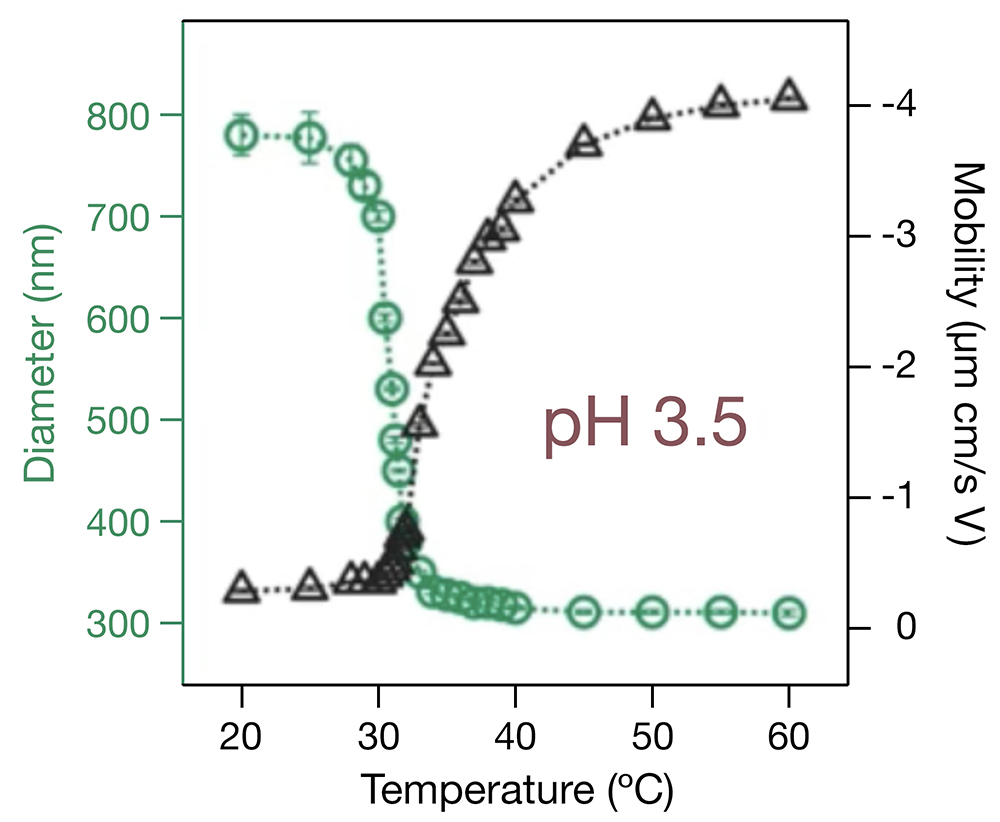
Hydrogel microparticles with very low cross-linking exhibit morphological behavior that varies with temperature and pH. These changes are closely related to the particles’ zeta potential, as described in a webinar presented by Prof. Andrew Lyon and Dr. Jason Lin.
To view the webinar, click on Investigating Hydrogel Microparticles with Light Scattering and Microscopy Tools.

Correspondence between size and electrophoretic mobility of hydrogel microparticles.
Haze formation in wine
Unstable colloids in wine tend to form haze, an undesirable property which may be indicative of heat exposure. Food researchers utilized a Wyatt ELS/DLS detector to study wine colloids, finding that a low absolute value of zeta potential correlates with haze formation and varies significantly with pH.
Read about uses of ELS/DLS in oenology: Seidel, L. et al, Composition, ζ Potential, and Molar Mass Distribution of 20 Must and Wine Colloids from Five Different Cultivars Obtained during Four Consecutive Vintages, J. Agric. Food Chem. 2023.
Walk-up or automated zeta potential analysis
ELS an essential characterization method to understand stability and physiological function of gene vectors, nanomedicines and other nanoparticles. It is typically combined with size measurement by dynamic light scattering, and the two are performed simultaneously in Wyatt’s ZetaStar.
How do I use ELS?
An ELS experiment can be completed in 5 quick steps:
- Sample preparation - filtration or dilution
- Loading sample: dispense into a ZetaStar dip cell, disposable ELS cell or the PEEK flow cell, or dispense multiple samples into appropriate autosampler vials
- Place the cell into your instrument or load the vials into the autosampler system connected to the ZetaStar.
- Run the measurement, collecting data either through the touchscreen or connected PC.
- Analyze data on the instrument or on the PC, checking data quality indicators to confirm good measurements.

Click the ZetaStar’s touch screen to select the desired type of measurement. DYNAMICS Touch will guide you through the steps and analysis, providing data quality feedback.
Sample Preparation
- Disposable cuvettes should remain wrapped until use and quartz cuvettes should be capped when stored.
- Buffers should be filtered to 0.02 µm or 0.1 µm. Measuring pure buffer is recommended as a control.
- Samples should be centrifuged or filtered while retaining the analyte of interest.
DYNAMICS
Data collection is straightforward: Click the Start button to run single measurements or use the wide selection of presets for setting up different types of pre-defined experiments. Alternatively, you can use the Experiment Designer wizard or Event Scheduler scripting tool to create an experiment from scratch, and collect data automatically. All results are acquired in real-time and analyzed automatically.
View your results in a data table or graphically. All original data are accessible and may be reprocessed at any time.
DYNAMICS Touch
DYNAMICS™ Touch™ is the on-board application for quick and easy walk-up measurements of the ZetaStar.
The intuitive touch-screen interface guides you through each step of your measurement. Steps include: choosing what you want to measure; entering parameters such as cuvette, sample, solvent and other conditions; clicking ‘Play’ to run the measurement; and then viewing the results.

DYNAMICS Touch provides complete results for each measurement type. The report can be exported as a pdf file and even sent to your phone.
Light Scattering Expertise
Developed and built entirely in-house at Wyatt’s Santa Barbara headquarters, ZetaStar incorporates state-of-the-art technology combined with rigorous quality assurance practices. Its rich touch screen display simplifies use and ensures access to all the control functions, data and diagnostics needed for smooth operation.
ELS Instruments
ZetaStar™ combines electrophoretic, dynamic and static light scattering for rapid and accurate determination of multiple parameters including hydrodynamic radius, polydispersity, molecular weight, particle concentration, turbidity and zeta potential.
With aliquot volumes as low as 2 µL and temperature control from -10 °C to +120 °C, the ZetaStar makes the most of your precious sample. Further productivity is achieved by the addition of the autosampler system that supports hands-free measurements of dozens of samples.
The DYNAMICS™ Touch™ on-board app runs on the ZetaStar’s touch screen, enabling intuitive, walk-up operation and guiding even casual users through basic measurements. Extended and more comprehensive analyses are carried out in DYNAMICS, running on a standard PC.

Software
DYNAMICS™ - Versatile software for size, size distributions, particle concentration, zeta potential and charge measurements, combining flexibility and intelligence with rigorous calculations and advanced analysis. DYNAMICS automatically assesses every measurement for instant feedback on data quality with actionable advice yet lets you review the original data for in-depth understanding. DYNAMICS offers an optional 21 CFR Part 11 compliant security and database package for GMP and GLP laboratories.

View the video to learn more about the ZetaStar ELS instrument.
Explore ELS
Interested in learning how ELS could enhance understanding of your biotherapeutics, nanoparticles, drug or gene vectors? Learn more through the resources available on our web site.
Webinars
Visit our on-demand ELS webinar page for an overview or application-specific deep dives.
Application Notes
Application notes highlighting the use of ELS are available for unrestricted viewing on the ELS Application Notes page. Listed below are some of the most popular:
- Automated Electrophoretic Mobility Measurement of High Salt Solutions
- Automated Measurements of Electrophoretic Mobility
- Computation of Protein Net Charge from Electrophoretic Mobility
- AN6301: Discriminating Heparin from Chondroitin Sulfate by Charge:Mass Ratio
- AN6001: Charge and Interaction Analysis for Predicting Antibody Formulation Stability
Theory
Please see the following page for details on ELS theory: Understanding Electrophoretic Light Scattering.
The Charge and Zeta Potential page provide additional information on specific analyses accomplished by ELS.
Bibliography
An extensive searchable bibliography of publications citing Wyatt ELS instruments is available at www.wyatt.com/Bibliography. Just open the Advanced Search and click the Electrophoretic Light Scattering box, then enter your search terms below.
Listed below are a few select publications that can be found in the Bibliography:
- Heida, R. et al. Assessing the Immunomodulatory Effect of Size on the Uptake and Immunogenicity of Influenza- and Hepatitis B Subunit Vaccines In Vitro. Pharmaceuticals 2022 15(7) https://doi.org/10.3390/ph15070887
- Seidel, L. et al. Composition, ζ Potential, and Molar Mass Distribution of 20 Must and Wine Colloids from Five Different Cultivars Obtained during Four Consecutive Vintages J. Agric. Food Chem. 2023 https://doi.org/10.1021/acs.jafc.2c09048
- Pisani, A.; et al. Chemokine-Decorated Nanoparticles Target Specific Subpopulations of Primary Blood Mononuclear Leukocytes Nanomaterials 2022 12(20) https://doi.org/10.3390/nano12203560
- Mendivil-Alvarado, H. et al. Extracellular Vesicles and Their Zeta Potential as Future Markers Associated with Nutrition and Molecular Biomarkers in Breast Cancer Int. J. Mol. Sci. 2023 24(7) https://doi.org/10.3390/ijms24076810
- Qu, H. et al. Controllable in situ synthesis of magnetite coated silica-core water-dispersible hybrid nanomaterials. Langmuir 2013 29(33) https://doi.org/10.1021/la4022867
- Roberts, D. et al. The role of electrostatics in protein-protein interactions of a monoclonal antibody. Mol. Pharm. 2014, 11(7) https://doi.org/10.1021/mp5002334
- Saito, S.; Hasegawa, J.; Kobayashi, N.; Tomitsuka, T.; Uchiyama, S.; Fukui, K. Effects of ionic strength and sugars on the aggregation propensity of monoclonal antibodies: influence of colloidal and conformational stabilities. Pharm. Res. 2013, 30 https://doi.org/10.1007/s11095-012-0965-4
Technical Notes
Wyatt offers its customers comprehensive online support via the Wyatt Support Center, including many technical notes that can help make the most of ELS experiments. If you are a customer and do not have access, please request an account on the Support Log-in page.
At Wyatt, it’s personal
Your success is ours! From the time you purchase a Wyatt instrument, we are there for you every step of the way and give you more than just an instrument warranty. Wyatt provides a full suite of support offerings to help you make the most of your investment. Most importantly, you get unrivaled personal attention to ensure success and productivity.
On-site installation and training
With every instrument purchase, we offer an on-site installation and familiarization visit at your laboratory to ensure proper instrument set-up and function. We also offer customized on-site training tailored to your specific needs. These additional services may be especially desirable if a large group of staff members wants to receive instruction.
First-year service and support
All new Wyatt instruments come with a full year of unlimited telephone and e-mail support as well as our standard full-coverage warranty during the first year. Our congenial staff of Ph.D. scientists and expert technicians provides both technical and application assistance. We will show you how to analyze your data or set up instrument communications by remotely accessing your PC.
After the first year, annual service plans are available for continuing, unlimited telephone support, e-mail support and instrument service. Benefits of the service plans include annual preventive maintenance, on-site calibration, re-qualification, and discounts on parts and labor for repairs. Learn more about service plans.
The specifics of first-year service as well as continuing support may vary by region. Please contact your local Wyatt representative for more information.
IQ/OQ and compliance
Wyatt Technology offers a complete compliance program including documentation and on-site validation for all of its instruments. We provide the resources and tools necessary to ensure compliance. We’ve worked extensively with our partners in compliant environments to build up a robust set of documents and services. Wyatt instruments and software are used in GMP environments at pharmaceutical, biotech, and other regulated industries around the world. Learn more about our Compliance program.
Light Scattering University
Our flagship training program Light Scattering University® (LSU) is included with every purchase of a light scattering instrument. In the 2, 3 or 4 day course—depending on which system is purchased—LSU students discover advanced data processing methods and alternative analytical tools they may not be familiar with. The students also learn how their MALS and DLS data complements information from other techniques they are using in the lab. Advanced classes are offered for LSU graduates on more detailed techniques and topics.
During LSU our students meet Dr. Philip Wyatt, Founder and Chairman of the Board who gives an acclaimed Light Scattering Instrument Museum tour. Students also meet those who invent, build, service and support the instruments, so they know the team that will support them when back in the lab.
An LSU credit, inclusive of airfare, accommodations and most meals, is included for North American customers who purchase one of our light scattering instruments. While you are here, we work you hard but feed you well—at a variety of Santa Barbara restaurants!
Learn more here.
Service and Support Plans
At Wyatt, we understand that downtime and loss of productivity is critical and have developed comprehensive service offerings — our Platinum, Gold and Silver Service Plans — specifically designed to make preventative maintenance and instrument repair requests quick, smooth and hassle-free. These plans are available on an annual basis after the first-year instrument warranty expires and offer priority phone and e-mail support in addition to instrument service.
The Platinum and Gold Service Plans offer comprehensive on-site preventive maintenance, repair services and software updates. A highly trained Wyatt Field Service Engineer will come to your facility and perform annual or semi-annual preventative maintenance, calibration and optional re-qualification checks. We also offer loaner units should an instrument require factory repair. With our Silver Service Plan, you can expect full instrument calibration and quality control testing, priority service including parts, labor, shipping, as well as the same comprehensive, first-priority technical and application support by phone, email, and screen sharing sessions as offered with the Platinum and Gold Service Plans.
Learn more here.
Web-based support
Our Customer Support Center contains a wealth of useful resources on everything related to your Wyatt light scattering instruments, software and applications:
- Software updates and bug fixes
- Technical Notes on how to connect and work with your instruments and software
- Video tutorials, software tutorials and educational webinars
- Learning Resource section with New User Guides
- Reference materials such as User's Manuals, Certificates of Analysis for Wyatt-supplied standards, CE and TUV declarations
Register or log in to the Support Center here.
We're Here to Help
Email: support@wyatt.com
Phone number +1 805-681-9009 option 4
Business hours: M-F 8 a.m. - 5 p.m. Pacific
Consulting
By special arrangement, we can provide extended on-site consulting services by an Applications Scientist to set up methods and run samples on your instruments in your lab. This avoids the need to send samples off-site for analysis and allows for intimate, real-time consultations with the best experts available. Availability may be limited to certain geographical regions.
If you would like to have our lab staff analyze samples for you and provide consultations, explore Wyatt's in-house Sample Analysis services.
Wyatt Technology Store
With our online store, world-wide customers can search for parts, consumables and accessories and view product images and part numbers. The store is categorized by Wyatt product families making it easy to know which parts are compatible with your instrument. US and Canadian customers can register for an account and order parts and accessories with either a purchase order or a credit card.
Browse our most popular consumables, review your order history and easily place repeat orders online. If you have questions on which Waters™ Wyatt protein SEC column is best for your application, check out the friendly SEC Columns Guide which will interactively guide you to the recommended column. In addition to ordering parts and accessories, you can also inquire about our training courses, IQ/OQ validation, and service plans.
Visit our online store here.
{“labels”:[],”rewrite”:{“with_front”:true}}
